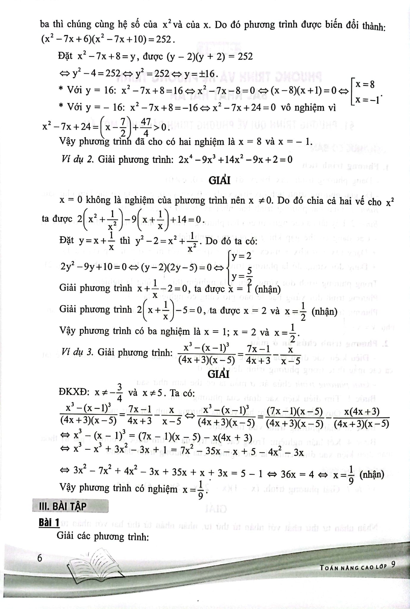
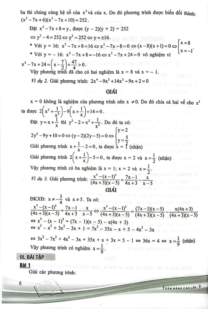
Thông tin chi tiết
| Mã hàng |
8935083584197
|
|---|---|
| Cấp Độ/ Lớp |
Lớp 9
|
| Tên Nhà Cung Cấp |
|
| Tác giả |
Phan Văn Đức, Phan Thái Khang
|
| NXB |
Dân Trí
|
| Năm XB |
2024
|
| Trọng lượng (gr) |
310
|
| Kích Thước Bao Bì |
27 x 19 x 0.8 cm
|
| Số trang |
179
|
| Hình thức |
Bìa Mềm
|
| Sản phẩm bán chạy nhất | Top 100 sản phẩm Tham Khảo Lớp 9 bán chạy của tháng |
|---|
Toán Nâng Cao 9
Quyển “TOÁN NÂNG CAO LỚP 9” được biên soạn nhằm đáp ứng yêu cầu bồi dưỡng nâng cao và mở rộng kiến thức của chương trình Toán Trung học cơ sở nói chung, toán lớp 9 nói riêng. Là tài liệu tham khảo có tác dụng thiết thực cho học sinh trong việc tự học – tự rèn luyện kĩ năng giải toán nâng cao năng lực tư duy – tạo tiền đề vững chắc cho các lớp học sau này.
Với mục tiêu đáp ứng yêu cầu theo chủ trương một chương trình với nhiều bộ sách giáo khoa tùy chọn theo Chương trình Giáo dục phổ thông mới ban hành kèm theo Thông tư số 32/2018/TT-BGDĐT của Bộ trưởng Bộ Giáo dục và Đào tạo thực hiện từ năm học 2024-2025 đối với lớp 9. “TOÁN NÂNG CAO LỚP 9” gồm các nội dung:
Phần đại số gồm 4 chương: Phương trình và hệ phương trình bậc nhất hai ẩn, Bất đẳng thức-Bất phương trình bậc nhất một ẩn, Căn thức, Phương trình bậc hai một ẩn.
Phần thống kê - xác suất gồm 1 chương: Một số yếu tố thống kê và xác suất;
Phần hình học phẳng gồm 4 chương: Hệ thức lượng trong tam giác vuông, Đường tròn, Đường tròn ngoại tiếp và đường tròn nội tiếp, Đa giác đều. Phần hình học trực quan gồm 1 chương: Các hình khối trong thực tiễn (Hình trụ - Hình nón - Hình cầu;
“TOÁN NÂNG CAO LỚP 9” được biên soạn với cấu trúc theo từng bài học/chủ đề, nội dung được trình bày bám sát với từng mục, từng bài, từng chương. Mỗi bài học/chủ đề gồm các phần: kiến thức cơ bản nhằm giúp các em hệ thống lại kiến thức đã học, các ví dụ minh hoạ và các bài toán được sắp xếp từ cơ bản đến nâng cao có kèm lời giải, hướng dẫn hoặc gợi ý để các em tham khảo đối chiếu với bài làm của mình, đồng thời có thể suy nghĩ để tìm ra lời giải hay hơn, độc đáo hơn...
Mong rằng quyển sách này sẽ là tài liệu hữu ích cho quí thầy, cô giáo và các bậc phụ huynh học sinh trong việc hướng dẫn, giúp đỡ con em mình trong quá trình học tập. Chúng tôi cũng mong đón nhận sự đóng góp xây dựng của quí vị bạn đọc để sách được hoàn chỉnh hơn trong lần tái bản tới.









