Hình thức bìa:Bìa Mềm
Thông tin chi tiết
| Mã hàng |
8935092830612
|
|---|---|
| Cấp Độ/ Lớp |
Lớp 11
|
| Tên Nhà Cung Cấp |
CÔNG TY CỔ PHẦN SÁCH VÀ VĂN HÓA PHẨM MIỀN NAM
|
| Tác giả |
Huỳnh Quốc Phong
|
| NXB |
Đại Học Quốc Gia Hà Nội
|
| Năm XB |
2024
|
| Trọng lượng (gr) |
280
|
| Kích Thước Bao Bì |
24 x 17 x 1.3 cm
|
| Số trang |
263
|
| Hình thức |
Bìa Mềm
|
| Sản phẩm bán chạy nhất | Top 100 sản phẩm Tham Khảo Lớp 10 bán chạy của tháng |
|---|
Bồi Dưỡng Đại Số 10 (Biên Soạn Theo Chương Trình Giáo Dục Phổ Thông Mới - Dùng Chung Cho Các Bộ SGK Hiện Hành)
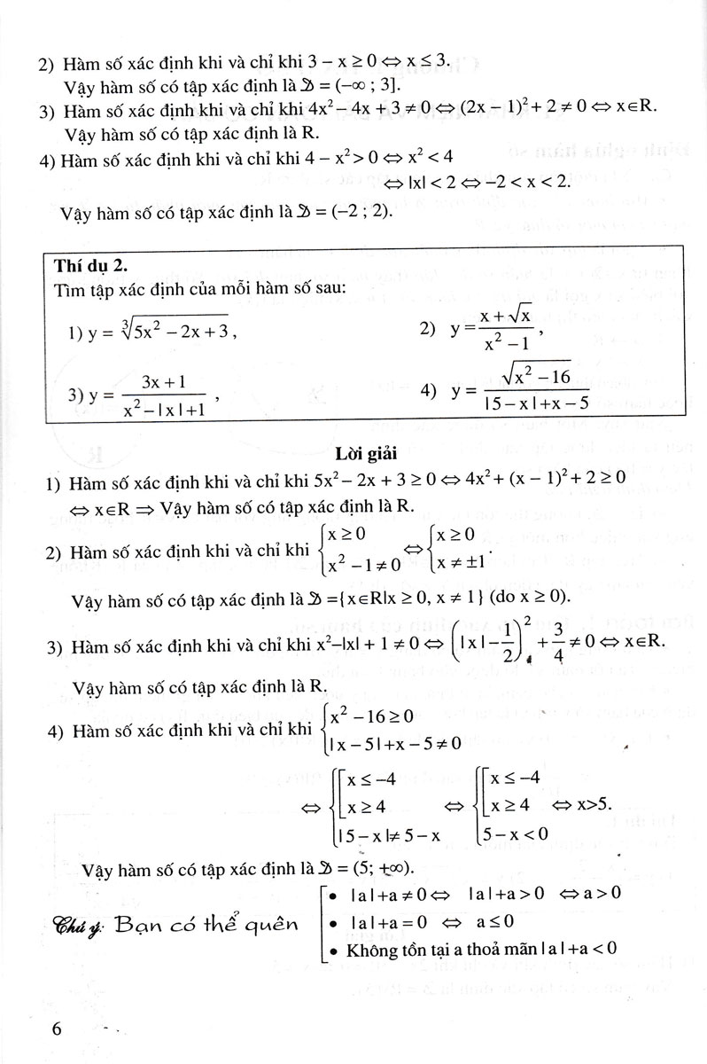
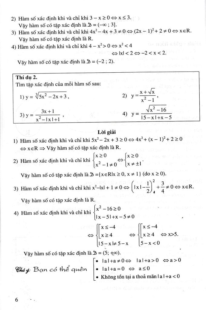
- Mỗi vấn đề trong sách trình bày nhất quán theo trình tự: cơ sở lý luận, thí dụ minh hoạ, lời bình, bài tập.









